Masa de disolvente para diluir una disolución concentrada (7449)

, por F_y_Q

Un frasco de 750 g, al 10 \% en masa, se quiere diluir hasta un 3 \% en masa. ¿Qué masa de disolvente habrá que agregar a la disolución concentrada para ello?

P.-S.

Una forma de resolver el problema es calcular la masa de soluto que contiene la disolución concentrada en primer lugar:

750\ \cancel{g\ D}\cdot \frac{10\ g\ S}{100\ \cancel{g\ D}} = \color[RGB]{0,112,192}{\bf 75\ g\ S}

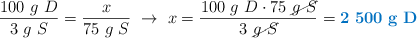
La masa de la disolución diluida será:

\frac{100\ g\ D}{3\ g\ S} = \frac{x}{75\ g\ S}\ \to\ x = \frac{100\ g\ D\cdot 75\ \cancel{g\ S}}{3\ \cancel{g\ S}} = \color[RGB]{0,112,192}{\bf 2\ 500\ g\ D}

La masa de disolvente que hay que añadir será la diferencia entre la masa de la disolución final y la inicial:

m_d = (2\ 500 - 750)\ g = \fbox{\color[RGB]{192,0,0}{\bf 1\ 750\ g}}


Descarga el enunciado y la resolución del problema en formato EDICO si lo necesitas.