Masa de clorato de potasio necesaria para obtener una masa de oxígeno (7768)

, por F_y_Q

¿Cuántos gramos de clorato de potasio (\ce{KClO3}) se tienen que descomponer para obtener 367.8 g de \ce{O2}? ¿Qué masa de cloruro de potasio se formará?

Datos: K = 39 ; Cl = 35.5 ; O = 16.

P.-S.

Uno de los modos de hacer el problema es establecer la relación másica de cada especie en la reacción de descomposición:

\color[RGB]{2,112,20}{\textbf{\ce{KClO3 -> KCl + 3/2 O2}}}

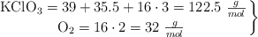
Si calculas las masas moleculares de cada especie:

\left \ce{KClO3} = 39 + 35.5 + 16\cdot 3 = 122.5\ \frac{g}{mol} \atop \ce{O2} = 16\cdot 2 = 32\ \frac{g}{mol}\ \right \}

Si tienes en cuenta la estequiometría de la reacción tendrás que multiplicar la masa molecular del oxígeno por 1.5 para tener la relación entre las masas de cada especie. Ya solo tienes que hacer una proporción, usando el dato como factor de conversión:

367.8\ \cancel{\ce{g\ O2}}\cdot \frac{122.5\ \ce{g\ KClO3}}{1.5\cdot 32\ \cancel{\ce{g\ O2}}} = \fbox{\color[RGB]{192,0,0}{\bf{938.7\ \ce{g\ KClO3}}}}


La masa de KCl la obtienes aplicando la ley de la conservación de la masa. La masa de reactivo debe ser igual a la suma de las masas de los productos. Despejas la masa de KCl y tienes:

m_{\ce{KCl}} = m_{\ce{KClO3}} - m_{\ce{O2}} = (938.7 - 367.8)\ g = \fbox{\color[RGB]{192,0,0}{\bf{570.9\ \ce{g\ KCl}}}}