Masa de carbonato de sodio impuro para hacer una disolución de normalidad conocida (6431)

, por F_y_Q

Calcula la masa, expresada en gramos, de carbonato de sodio comercial, con un 70 \ \% de pureza, requerida para preparar 5 L de una disolución 0.8 N de densidad 1.05 \ \textstyle{g\over mL}.

P.-S.

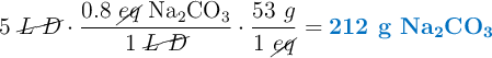
En primer lugar, debes calcular la masa de \ce{Na_2CO_3} que contendrá la disolución que quieres preparar. Cuidado porque la concentración es normal y eso implica que debes tener en cuenta la masa de los equivalentes de la sal (y no los moles). Como la sal contiene dos cationes por cada anión, la masa de un equivalente es la mitad de la masa de un mol:

5\ \cancel{L\ D}\cdot \frac{0.8\ \cancel{eq}\ \ce{Na2CO3}}{1\ \cancel{L\ D}}\cdot \frac{53\ g}{1\ \cancel{eq}} = \color[RGB]{0,112,192}{\textbf{212 g \ce{Na2CO3}}}

Ahora llamas «P» al reactivo comercial y aplicas el porcentaje de pureza para saber la masa de reactivo comercial que necesitarás:

212\ \cancel{g\ \ce{Na2CO3}}\cdot \frac{100\ g\ P}{70\ \cancel{g\ \ce{Na2CO3}}} = \fbox{\color[RGB]{192,0,0}{\bf 302.9\ g\ P}}