Masa de agua que puedes sacar de un pozo usando un torno (6546)

, por F_y_Q

Si eres capaz de realizar una fuerza motora de 80 N y usas un torno de radio 38 cm y cuya manivela tiene una longitud de 52 cm para sacar agua de un pozo, ¿qué masa de agua podrás sacar de una vez? Considera que g = 10\textstyle{m\over s^2} .

P.-S.

En el caso del torno, que se puede asemejar a una palanca de primer género, también se cumple la ley de la palanca pero debes relacionar la potencia con la longitud de la manivela y la resistencia con el radio del cilindro:

F_M\cdot l_M = F_R\cdot l_R\ \to\ P\cdot l_M = R\cdot r

La resistencia es:

R = \frac{P\cdot l_M}{r} = \frac{80\ N\cdot 52\ \cancel{cm}}{38\ \cancel{cm}} = \color[RGB]{0,112,192}{\bf 109.5\ N}

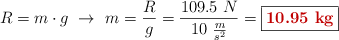
El dato que obtienes es el peso del agua, pero debes calcular la masa de agua:

R = m\cdot g\ \to\ m = \frac{R}{g} = \frac{109.5\ N}{10\ \frac{m}{s^2}} = \fbox{\color[RGB]{192,0,0}{\bf 10.95\ kg}}


Descarga el enunciado y la resolución del problema en formato EDICO si lo necesitas.