Masa de CO máxima en una habitación para no sobrepasar las indicaciones de la OMS

, por F_y_Q

Según la Organización Mundial de la Salud (OMS), la contaminación ambiental es la responsable directa de siete millones de muertes al año en el mundo y de muchas otras enfermedades asociadas. Uno de los contaminantes más nocivos es el monóxido de carbono (CO), que es peligroso para la salud en concentraciones de 50 a 100 \textstyle{mg\over m^3} de aire.

a) ¿Cuál es su concentración en g/L?

b) Si una habitación tiene dimensiones de 4 m de largo por 3 m de ancho y 2.2 m de altura, ¿qué masa máxima de CO, expresada en gramos, puede haber en el aire para que no sea peligroso?

P.-S.

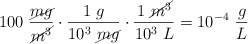
a) Este apartado se puede hacer por medio de un cambio de unidades usando dos factores de conversión:

50\ \frac{\cancel{mg}}{\cancel{m^3}}\cdot \frac{1\ g}{10^3\ \cancel{mg}}\cdot \frac{1\ \cancel{m^3}}{10^3\ L} = 5\cdot 10^{-5}\ \frac{g}{L}

100\ \frac{\cancel{mg}}{\cancel{m^3}}\cdot \frac{1\ g}{10^3\ \cancel{mg}}\cdot \frac{1\ \cancel{m^3}}{10^3\ L} = 10^{-4}\ \frac{g}{L}

Será peligroso en concentraciones de \fbox{\color{red}{\bm{5\cdot 10^{-5}\ \to\ 10^{-4}\ \frac{g}{L}}}}

b) Vamos a considerar el límite superior del intervalo dado como máximo de CO que puede haber en la habitación. En primer lugar calculamos el volumen de la habitación:

V = 4\ m\cdot 3\ m\cdot 2.2\ m = 26.4\ m^3

La masa máxima de CO será:

c = \frac{m_{CO}}{V}\ \to\ m_{CO} = 10^{-4}\ \frac{g}{\cancel{L}}\cdot 26.4\ \cancel{m^3}\cdot \frac{10^3\ \cancel{L}}{1\ \cancel{m^3}} = \fbox{\color{red}{\bm{2.64\ g\ CO}}}