Masa atómica del sodio sabiendo su celda unidad, su densidad y el valor de la arista (6107)

, por F_y_Q

Calcula la masa atómica del sodio, sabiendo que su densidad es 0.968 \ \textstyle{g\over cm^3} y que tiene una estructura cristalina centrada en el cuerpo (BCC), con arista de 6.24\ \textup{\r{A}} .

P.-S.

Para una celda unidad centrada en el cuerpo el número de átomos por celda es 2 y la relación entre la arista de la celda y el radio atómico es:

\color[RGB]{2,112,20}{\bm{a = \frac{4r}{\sqrt{3}}}}

Puedes escribir el radio de los átomos en función del valor de la arista de la celda:

\color[RGB]{0,112,192}{\bm{r = \frac{\sqrt{3}\cdot a}{4}}}

La masa del sodio se puede escribir en función de la densidad y el volumen del átomo, suponiéndolo esférico:

\rho = \frac{m}{V}\ \to\ m = \rho\cdot V = \rho\cdot \frac{4\pi}{3}\cdot r^3

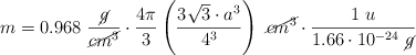
Sustituyes y calculas:

m = 0.968\ \frac{\cancel{g}}{\cancel{cm^3}}\cdot \frac{4\pi}{3}\left(\frac{3\sqrt{3}\cdot a^3}{4^3}\right)\ \cancel{cm^3}\cdot \frac{1\ u}{1.66\cdot 10^{-24}\ \cancel{g}}

Vas a obtener el dato buscado en unidad de masa atómica (u):

m = \frac{0.968\ \sqrt{3}\pi}{16}\cdot \frac{2.43\cdot 10^{-22}}{1.66\cdot 10^{-24}} = \color[RGB]{0,112,192}{\bf 48.2\ u}

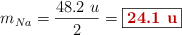
Pero debes recordar que la celda unidad contiene 2 átomos de sodio, por lo que el dato que has obtenido debe ser dividido por dos:

m_{Na} = \frac{48.2\ u}{2} = \fbox{\color[RGB]{192,0,0}{\bf 24.1\ u}}


Descarga el enunciado y la resolución del problema en formato EDICO si lo necesitas.