MCU: ángulo barrido en función del tiempo 0001

, por F_y_Q

Una partícula gira un angulo de 6 rad con velocidad angular constante en un cierto tiempo. ¿Cuánto girará si el tiempo se hace el doble?

P.-S.

La velocidad angular se define como el cociente entre el ángulo de giro y el tiempo: \omega = \frac{\phi}{t}
Si despejamos el ángulo de giro: \phi_1 = \omega \cdot t
La velocidad es constante. Si hacemos doble el tiempo tendríamos: \phi_2 = \omega \cdot 2t
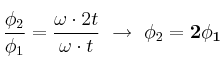
Haciendo el cociente entre ambas expresiones:

\frac{\phi_2}{\phi_1} = \frac{\omega \cdot 2t}{\omega \cdot t}\ \to\ \phi_2 = \bf 2\phi_1


Vemos que girará el doble que en el primer caso, por lo tanto la respuesta será 12 rad.