Ley general de los gases para un sistema cerrado 0001

, por F_y_Q

El volumen medido en un sistema gaseoso cerrado, cuando está a 10\ ^oC y a una presión de 750 mm Hg, es de 240 litros. Halla el volumen que ocupará si la temperatura aumenta hasta los 40\ ^oC y la presión disminuye a 700 mm Hg.

P.-S.

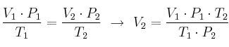
Dado que en el sistema varían T, P y V, hemos de aplicar la ley general de los gases:
\frac{V_1\cdot P_1}{T_1} = \frac{V_2\cdot P_2}{T_2}\ \to\ V_2 = \frac{V_1\cdot P_1\cdot T_2}{T_1\cdot P_2}
Ahora solo tenemos que sustituir los valores. Es importante tener en cuenta que la temperatura ha de estar en escala absoluta. Se consigue sumando 273 a los valores de temperatura centígrada que da el enunciado:

V_2 = \frac{240\ L\cdot 750\ \cancel{mm\ Hg}\cdot 313\ \cancel{K}}{283\ \cancel{K}\cdot 700\ \cancel{mm\ Hg}} = \bf 284,4\ L