Ley de Proust 0002

, por F_y_Q

Para obtener óxido de sodio, se ha encontrado experimentalmente que 2,006 g de sodio se combinan con 1,394 g de oxígeno. Calcula la masa de sodio y de oxígeno que se han de combinar para obtener 2,942 g de este óxido.

P.-S.

Según el enunciado la masa total de óxido que se obtiene en el primer caso es de: (2,006 + 1,394) g = 3,400 g.
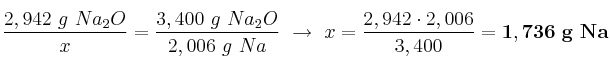
Hacemos una regla de tres directa para relacionar la masa de óxido nueva con la masa que acabamos de determinar. Tomamos como referencia para nuestra proporción el sodio, por ejemplo:

\frac {2,942\ g\ Na_2O}{x} = \frac {3,400\ g\ Na_2O}{2,006\ g\ Na}\ \to\ x = \frac{2,942\cdot 2,006}{3,400} = \bf 1,736\ g\ Na


Por lo tanto, la masa de oxígeno será:

(2,942 - 1,736)\ g = \bf 1,206\ g\ O