Ley de Boyle (1919)

, por F_y_Q

Si introducimos cierta cantidad de gas en un recipiente de 2 L y lo cerramos herméticamente a una presión de 1 atm, ¿cuál será la presión final si reducimos el volumen a un tercio de litro? ¿Qué ley de los gases aplicas para resolver el problema? Considera que la temperatura es constante.

P.-S.

Debes aplicar la ley de Boyle porque se trata de un sistema cerrado que contiene un gas y en el que la temperatura permanece constante.

A partir de la ley de Boyle puedes despejar el valor de la presión final y calcularla:

P_1\cdot V_1 = P_2\cdot V_2\ \to\ \frac{P_1\cdot V_1}{V_2} = P_2

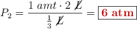
Sustituyes los valores del enunciado:

P_2 = \frac{1\ amt\cdot 2\ \cancel{L}}{\frac{1}{3}\ \cancel{L}}= \fbox{\color[RGB]{192,0,0}{\bf 6 atm}}