Lente biconvexa: potencia y distancia focal posiciones de objeto e imagen (7133)

, por F_y_Q

Una lente esférica delgada biconvexa, con caras de radios iguales a 8 cm y hecha de vidrio Flint (con índice de refracción 1.45), forma una imagen reducida a la cuarta parte del tamaño del objeto e invertida. Determina:

a) La potencia y la distancia focal de la lente.

b) Las posiciones del objeto y de la imagen.

c) La altura de la imagen, si el objeto tiene una altura de 6 cm.

P.-S.

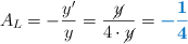
Al ser una lente biconvexa debes considerar que el primer radio es positivo y el segundo negativo, es decir, R_1 = 8\ cm y R_2 = -8\ cm. Además el valor del aumento lateral es negativo, por ser una imagen invertida, y menor que uno, por ser una imagen menor que el objeto. Lo más fácil es empezar por el último apartado.

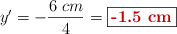
c) Si y = 6 cm:

A_L = - \frac{y^{\prime}}{y} = \frac{\cancel{y}}{4\cdot \cancel{y}} = \color[RGB]{0,112,192}{\bm{-\frac{1}{4}}}

El tamaño de la imagen es:

y^{\prime} = -\frac{6\ cm}{4} = \fbox{\color[RGB]{192,0,0}{\bf -1.5\ cm}}


El signo menos indica que la imagen es invertida.

a) A partir de la ley fundamental de las lentes delgadas, y considerando que está en el aire, puedes obtener la distancia focal de la lente:

\frac{1}{f^{\prime}} = (n^{\prime} - 1)\left(\frac{1}{R_1} - \frac{1}{R_2}\right)\ \to\ \frac{1}{f^{\prime}} = 0.45\left(\frac{1}{8} + \frac{1}{8}\right)\ \to\ \fbox{\color[RGB]{192,0,0}{\bm{f^{\prime} = 8.89\ cm}}}


La potencial es la inversa de la distancia focal, pero expresada en metros:

P = \frac{1}{f^{\prime}} = \frac{1}{8.89\cdot 10^{-2}\ m} = \fbox{\color[RGB]{192,0,0}{\bf 11.3\ D}}


b) A partir del aumento lateral puedes obtener la relación entre las posiciones del objeto y la imagen:

A_L = \frac{s^{\prime}}{s}\ \to\ \color[RGB]{2,112,20}{\bm{s = -4s^{\prime}}}

La ecuación de Gauss para las lentes delgadas relaciona las posiciones de la imagen y el objeto con la distancia focal:

\frac{1}{s^{\prime}} - \frac{1}{s} = \frac{1}{f^{\prime}}\ \to\ \frac{1}{s^{\prime}} + \frac{1}{4s^{\prime}} = \frac{1}{f^{\prime}}\ \to\ \color[RGB]{2,112,20}{\bm{s^{\prime} = \frac{5f^{\prime}}{4}}}

Sustituyes y calculas:

s^{\prime} = \frac{5\cdot 8.89\ cm}{4} = \fbox{\color[RGB]{192,0,0}{\bf 11.1\ cm}}


s = -4s^{\prime}\ \to\ \fbox{\color[RGB]{192,0,0}{\bf s = -44.4\ cm}}



Descarga el enunciado y la resolución del problema en formato EDICO si lo necesitas.