Latidos del corazón en un mes 0001

, por F_y_Q

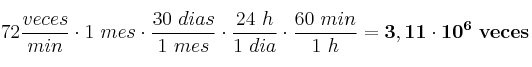
El corazón de una persona late unas 72 veces por minuto. Calcula cuántos latidos daría en un mes.

P.-S.

La clave del ejercicio está en expresar el tiempo en la misma unidad:

72\frac{veces}{min}\cdot 1\ mes\cdot \frac{30\ dias}{1\ mes}\cdot \frac{24\ h}{1\ dia}\cdot \frac{60\ min}{1\ h} = \bf 3,11\cdot 10^6\ veces