Lanzamiento oblicuo: cálculo de velocidad inicial (2848)

, por F_y_Q

¿Con qué velocidad es golpeada una pelota de tenis que llega a una altura máxima de 30 m y un alcance horizontal máximo de 48 m?

P.-S.

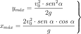
Las expresiones para el alcance máximo y la altura máxima en un lanzamiento oblicuo, una vez deducidas, son:

\left y_{m\acute{a}x} = \dfrac{v_0^2\cdot sen^2 \alpha}{2g} \atop x_{m\acute{a}x} = \dfrac{2v_0^2\cdot sen\ \alpha\cdot cos\ \alpha}{g} \right \}

Si despejas el valor de la velocidad inicial en ambas expresiones e igualas:

\frac{2g\cdot y_{m\acute{a}x}}{sen^2 \alpha} = \frac{x_{m\acute{a}x}\cdot g}{2sen\ \alpha\cdot cos\ \alpha}

Simplificas y despejas para obtener la tangente del ángulo de lanzamiento:

tg\ \alpha = \frac{4y_{m\acute{a}x}}{x_{m\acute{a}x}}\ \to\ \color[RGB]{0,112,192}{\bm{\alpha = 68.2^o}}

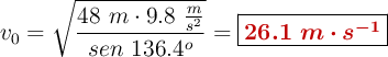
Ahora solo tienes que usar una de las expresiones anteriores en las que despejaste el valor de la velocidad inicial. Si usas la que está en función del alcance máximo tendrás:

v_0 = \sqrt{\frac{48\ m\cdot 9.8\ \frac{m}{s^2}}{sen\ 136.4^o}} = \fbox{\color[RGB]{192,0,0}{\bm{26.1\ m\cdot s^{-1}}}}