KP y KC de un equilibrio de disociación conocido el grado de disociación (6725)

, por F_y_Q

A 200 ^oC y presión de 1atm, el \ce{PCl5} se disocia en \ce{PCl3} y \ce{Cl2} en un 49\% .Calcula:

a) \ce{K_C} y \ce{K_P} .

b) El grado de disociación a la misma temperatura pero a 10 atm de presión.

P.-S.

El equilibrio que debes tener en cuenta es:

\underset{n_0(1-\alpha)}{\ce{PCl5}} \ce{<=>} \underset{n_0\alpha}{\ce{PCl3}} + \underset{n_0\alpha}{\ce{Cl2}}


Si sumas los moles en el equilibrio verás que son:

n_T = n_0(1 - \alpha) + 2n_0\alpha = \color[RGB]{2,112,20}{\bm{n_0(1 + \alpha)}}

Las fracciones molares de cada uno de los componentes del equilibrio son:

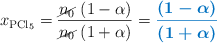
x_{\ce{PCl5}} = \frac{\cancel{n_0}\ (1 - \alpha)}{\cancel{n_0}\ (1 + \alpha)} = \color[RGB]{0,112,192}{\bm{\frac{(1 - \alpha)}{(1 + \alpha)}}}

x_{\ce{PCl3}} = x_{\ce{Cl2}} = \frac{\cancel{n_0}\cdot \alpha}{\cancel{n_0}\ (1 + \alpha)} = \color[RGB]{0,112,192}{\bm{\frac{\alpha}{(1 + \alpha)}}}

a) Puedes escribir la constante \ce{K_P} en función de las presiones parciales y estas en función de la presión total y las fracciones molares:

\ce{K_P} = \frac{p_{\ce{PCl3}}\cdot p_{\ce{Cl2}}}{p_{\ce{PCl5}}} = \frac{x_{\ce{PCl3}}\cdot \cancel{P_T}\cdot x_{\ce{Cl2}}\cdot P_T}{x_{\ce{PCl5}}\cdot \cancel{P_T}} = \color[RGB]{0,112,192}{\bm{\frac{P_T\cdot \alpha^2}{(1 - \alpha^2)}}}

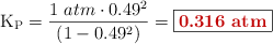
Como conoces el grado de disociación y la presión total solo tienes que sustituir y calcular:

\ce{K_P} = \frac{1\ atm\cdot 0.49^2}{(1 - 0.49^2)} = \fbox{\color[RGB]{192,0,0}{\bf 0.316\ \text{atm}}}


El valor de \ce{K_C} se obtiene de manera inmediata:

\ce{K_C} = \ce{K_P}\cdot (R\cdot T)^{-\Delta n} = 0.316\cdot (0.082\cdot 473)^{-1} = \fbox{\color[RGB]{192,0,0}{\bm{8.15\cdot 10^{-3}\ M}}}


b) Como la temperatura no varía, el valor de \ce{K_P} será el mismo que el valor calculado. Solo tienes que considerar ahora el valor de 10 atm para la presión total y despejar el valor del grado de disociación:

\ce{K_P}\cdot (1 - \alpha^2) = P_T\cdot \alpha^2\ \to\ 0.316 - 0.316\alpha^2 = 10\alpha^2\ \to\ \alpha = \sqrt{\frac{0.316}{10.316}} = \fbox{\color[RGB]{192,0,0}{\bf 0.175}}


El nuevo grado de disociación es \fbox{\color[RGB]{192,0,0}{\bm{\alpha = 17.5\%}}} .