Indeterminación en la posición de un electrón (4752)

, por F_y_Q

Suponiendo que un electrón se mueve con una velocidad de 300 m/s, y asumiendo que la precisión en la medida de esta velocidad es del 10^{-2}\ \% , ¿cuál sería la indeterminación en la posición de ese electrón?

P.-S.

Aplicas el principio de indeterminación de Heisenberg y despejas la incertidumbre en la posición:

\Delta x\cdot \Delta p \geq \frac{h}{4\pi}\ \to\ \color[RGB]{2,112,20}{\bm{\Delta x \geq  \frac{h}{4\pi\cdot m\cdot \Delta v}}}

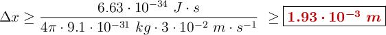
Sustituyes los valores en la ecuación, pero teniendo cuidado al expresar la velocidad del electrón:

\Delta x \geq \frac{6.63\cdot 10^{-34}\ J\cdot s}{4\pi \cdot 9.1\cdot 10^{-31}\ kg\cdot 3\cdot 10^{-2}\ m\cdot s^{-1}}\ \geq \fbox{\color[RGB]{192,0,0}{\bm{1.93\cdot 10^{-3}\ m}}}


Obtienes una imprecisión que es diez millones de veces mayor que el tamaño de un átomo, es decir, podemos decir que no podríamos saber la posición del electrón a nivel práctico.

RESOLUCIÓN DEL EJERCICIO EN VÍDEO.