Impedancia, reactancia, resistencia y factor de potencia en un circuito (8150)

, por F_y_Q

En un circuito de corriente alterna los valores eficaces son I_e = 10\ A y V_e = 300\ V y la intensidad está retrasada 60^o respecto a la tensión. Calcula:

a) impedancia, b) reactancia, c) resistencia y d) factor de potencia.

P.-S.

a) El cálculo de la impedancia es automático porque es el cociente entre los valores eficaces de V e I:

Z = \frac{V_e}{I_e} = \frac{300\ V}{10\ A} = \fbox{\color[RGB]{192,0,0}{\bm{30\ \Omega}}}


b) Que la intensidad de corriente esté retrasada con respecto a la tensión quiere decir que el circuito es inductivo y su reactancia inductiva será positiva. La reactancia puedes calcularla como:

X_L = Z\cdot sen\ \phi = 30\ \Omega\cdot sen\ 60 = \fbox{\color[RGB]{192,0,0}{\bm{25.98\ \Omega}}}


c) La resistencia será:

R = Z\cdot cos\ \phi = 30\ \Omega\cdot cos\ 60 = \fbox{\color[RGB]{192,0,0}{\bm{15\ \Omega}}}


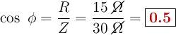
El factor de potencia es el cociente entre la resistencia y la impedancia:

\cos\ \phi = \frac{R}{Z} = \frac{15\ \cancel{\Omega}}{30\ \cancel{\Omega}} = \fbox{\color[RGB]{192,0,0}{\bf 0.5}}