Hora de llegada sabiendo la velocidad media y la distancia del viaje (5076)

, por F_y_Q

Un coche inicia un viaje de 750 km a las 06:30 h. Si su velocidad media es de 95 km/h, ¿a qué hora llegará a su destino?

P.-S.

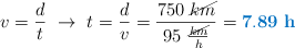
Para poder saber la hora a la que llega al destino debes calcular las horas de viaje para cubrir los 750 km. Como la velocidad es el cociente entre la distancia a cubrir y el tiempo necesario para ello, puedes despejar el tiempo en la ecuación y sustituir:

v = \frac{d}{t}\ \to\ t = \frac{d}{v} = \frac{750\ \cancel{km}}{95\ \frac{\cancel{km}}{h}} = \color[RGB]{0,112,192}{\bf 7.89\ h}

Para saber la hora de llegada debes hacer la conversión del tiempo obtenido al formato de hora dado. Parece claro que tardará menos de ocho horas por lo que te quedas con que tardará 7 horas y conviertes las otras 0.89 h en minutos:

0.89\ \cancel{h}\cdot \frac{60\ min}{1\ \cancel{h}} = \color[RGB]{0,112,192}{\bf 53.4\ min}

Hay que sumar entonces 7 horas y 53 minutos a la hora de salida, siendo la hora de llegada \fbox{\color[RGB]{192,0,0}{\bf 14:23\ h}} .