Gramos y moles de soluto en distintas disoluciones (3306)

, por F_y_Q

Determina los gramos y los moles de soluto disueltos en:

a) 350 g de disolución de \ce{AgNO3} cuya concentración es de 2 ppm.

b) 900 mL de disolución de \ce{CuSO4} de concentración 1.2 M.

P.-S.

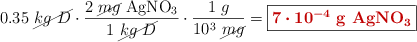
La concentración 2 ppm quiere decir que la disolución contiene 2 mg de soluto para cada kg de disolución. La masa que debes considerar, expresada en kg, es 0.35 kg de disolución (D):

0.35\ \cancel{kg\ D}\cdot \frac{2\ \cancel{mg}\ \ce{AgNO3}}{1\ \cancel{kg\ D}}\cdot \frac{1\ g}{10^3\ \cancel{mg}} = \fbox{\color[RGB]{192,0,0}{\bm{7\cdot 10^{-4}}\ {\textbf{\ce{g\ AgNO3}}}}}


Para calcular los moles debes tener en cuenta la masa molecular:

M_{\ce{AgNO3}} = (108 + 14 + 16\cdot 3)\ \textstyle{g\over mol} = \color[RGB]{0,112,192}{\bm{170\ \frac{g}{mol}}}

Si usas este dato como factor de conversión:

7\cdot 10^{-4}\ \ce{\cancel{g}\ AgNO3}\cdot \frac{1\ \text{mol}}{170\ \cancel{g}} = \fbox{\color[RGB]{192,0,0}{\bm{4.12\cdot 10^{-6}}\ {\textbf{\ce{mol\ AgNO3}}}}}


b) El volumen de disolución, expresado en litros es 0.9 L:

0.9\ \cancel{\text{L\ D}}\cdot \frac{1.2\ \ce{mol\ CuSO4}}{1\ \cancel{\text{L\ D}}} =\fbox{\color[RGB]{192,0,0}{\bf{1.08\ \ce{mol\ CuSO4}}}}


La masa molecular del sulfato de cobre(2+) es:

M_{\ce{CuSO4}} = (63.5 + 32 + 16\cdot 4)\ \textstyle{g\over mol} = \color[RGB]{0,112,192}{\bm{159.5 \frac{g}{mol}}}

De manera análoga al apartado anterior puedes transformar los moles a masa:

1.08\ \ce{\cancel{mol}\ CuSO4}\cdot \frac{159.5\ g}{1\ \cancel{\text{mol}}} = \fbox{\color[RGB]{192,0,0}{\bf{172\ \ce{g\ CuSO4}}}}