Gráficas s-t y v-t de un coche que realiza un viaje (6441)

, por F_y_Q

Representa las gráficas espacio-tiempo y velocidad-tiempo para un coche que hace un viaje en los siguiente tramos:

a) Durante 3 h recorre 210 km con MRU.

b) Durante 1 h hace una parada para comer.

c) Recorre 100 km con MRU a la velocidad de 20 m/s.

P.-S.

Observa que para hacer las gráficas es necesario que las unidades sean homogéneas. Te propongo usar los kilómetros para el espacio recorrido y las horas para el tiempo. En ese caso, debes convertir la velocidad del último tramo a km/h:

20\ \frac{\cancel{m}}{\cancel{s}}\cdot \frac{1\ km}{10^3\ \cancel{m}}\cdot \frac{3.6\cdot 10^3\ \cancel{s}}{1\ h} = \color[RGB]{0,112,192}{\bm{72\ \frac{km}{h}}}

Gráfico s-t.
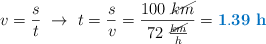
Tú gráfico debe tener tres tramos en los que debes ir acumulando las distancias que el coche recorre. El segundo tramo es horizontal porque el coche está parado. Para el tercer tramo es necesario que calcules el tiempo que tarda en recorrer los 100 km:

v = \frac{s}{t}\ \to\ t = \frac{s}{v} = \frac{100\ \cancel{km}}{72\ \frac{\cancel{km}}{h}} = \color[RGB]{0,112,192}{\bf 1.39\ h}

La gráfica como sigue. Si haces clic sobre la miniatura la verás mejor:

Gráfico v-t
Obtendrás una gráfica con tres tramos horizontales que dan cuenta de la velocidad constante con la que se mueve el coche en cada tramo. El segundo tramo coincide con el eje X porque la velocidad es nula. La gráfica v-t que debes obtener es como esta (haz clic en la miniatura para verla con más detalle):