Globo que se asciende a temperatura constante 0001

, por F_y_Q

Un globo inflado, que tiene un volumen de 0,55 litros a nivel del mar, se eleva a una altura de 6,5 kilómetros, donde la presión es de 0,40 atm. Suponiendo que la temperatura permanece constante durante el ascenso, ¿cuál es el volumen final del globo?

P.-S.

En el ejercicio debemos suponer que la temperatura es constante, por lo tanto aplicaremos la ley de Boyle de los gases, en la que se establece que la presión y el volumen de un sistema gaseoso son inversamente proporcionales:

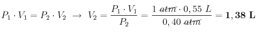
P_1\cdot V_1 = P_2\cdot V_2\ \to\ V_2 = \frac{P_1\cdot V_1}{P_2} = \frac{1\ \cancel{atm}\cdot 0,55\ L}{0,40\ \cancel{atm}} = \bf 1,38\ L