Fuerza neta de dos cargas eléctricas sobre una tercera (6667)

, por F_y_Q

Tres cargas eléctricas puntuales se distribuyen como se muestra en la figura. Determina las características de la fuerza neta sobre la carga q _2 .

Datos: q_1 = 2.0\cdot 10^{-5}\ C ; q_2 = 6.0\cdot 10^{-5}\ C ; q_3 = 4.0\cdot 10^{-5}\ C ; K  = 9\cdot 10^9\ \textstyle{N\cdot m^2\over C^2}

P.-S.

El planteamiento para hacer el ejercicio será calcular los módulos de las fuerzas de las carga q _1 y q _3 sobre la carga q _2 y luego expresarlas como vectores para hacer la fuerza neta.

Es necesario que calcules la distancia entre la carga 1 y la carga 2, así como el ángulo que formaría la dirección de la fuerza de la primera carga con el eje horizontal:

d = \sqrt{(0.2^2 + 0.15^2)\ m^2} = \color[RGB]{2,112,20}{\bf 0.25\ m}

\alpha = arctg\ \frac{0.15}{0.2} = \color[RGB]{2,112,20}{\bf 36.9^o}

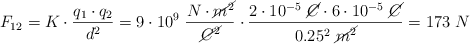
F_{12} = K\cdot \frac{q_1\cdot q_2}{d^2} = 9\cdot 10^9\ \frac{N\cdot \cancel{m^2}}{\cancel{C^2}}\cdot \frac{2\cdot 10^{-5}\ \cancel{C}\cdot 6\cdot 10^{-5}\ \cancel{C}}{0.25^2\ \cancel{m^2}} = 173\ N

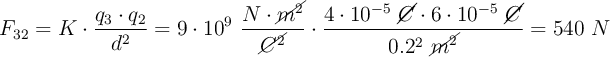
F_{32} = K\cdot \frac{q_3\cdot q_2}{d^2} = 9\cdot 10^9\ \frac{N\cdot \cancel{m^2}}{\cancel{C^2}}\cdot \frac{4\cdot 10^{-5}\ \cancel{C}\cdot 6\cdot 10^{-5}\ \cancel{C}}{0.2^2\ \cancel{m^2}} = 540\ N

Ambas fuerzas, expresadas como vectores, serían:

\vec F_{32} = 540\ \vec i

\vec F_{12} = F_{12}\cdot cos\ 36.9\ -\vec i + F_{12}\cdot sen\ 36.9\ -\vec j = -138\ \vec i - 104\ \vec j

La fuerza resultante sobre la carga 2 es la suma de ambas fuerzas:

\fbox{\color[RGB]{192,0,0}{\bm{\vec{F}_T = 402\ \vec{i} - 104\ \vec{j}}}}


El módulo de esta fuerza neta es:

F_T = \sqrt{(402^2 + 104^2)\ N^2} = \fbox{\color[RGB]{192,0,0}{\bm{415\ N}}}


El ángulo que forma la fuerza con la dirección horizontal es:

\beta = arctg\ \frac{-104}{402}\ \to\ \fbox{\color[RGB]{192,0,0}{\bm{\beta = -14.5^o}}}