Fuerza necesaria para levantar una masa con una polea simple o compuesta (6545)

, por F_y_Q

¿Qué fuerza hay que hacer para levantar un saco de 55 kg con una polea? ¿Y si la polea que usamos es doble? Considera que g = 10 \ \textstyle{m\over s^2}.

P.-S.

La polea es una máquina que se puede asemejar a una palanca de primer género cuyos brazos de potencia y resistencia son iguales, por lo que no hay ventaja mecánica.
Para levantar el saco con una polea hay que hacer una fuerza igual al peso del saco:

F_M = p = m\cdot g\ \to\ F_M = 55\ kg\cdot 10\ \frac{m}{s^2} = \fbox{\color[RGB]{192,0,0}{\bf 550\ N}}


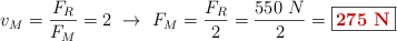
Si la polea es doble, el brazo de potencia se hace el doble que el brazo de resistencia, por lo que la ventaja mecánica es 2 y eso significa que la fuerza motora es la mitad que la fuerza de resistencia:

v_M = \frac{F_R}{F_M} = 2\ \to\ F_M = \frac{F_R}{2} = \frac{550\ N}{2} = \fbox{\color[RGB]{192,0,0}{\bf 275\ N}}


Descarga el enunciado y la resolución del problema en formato EDICO si lo necesitas.