Fuerza iónica de un búfer de sales de fosfato (7242)

, por F_y_Q

Calcula la fuerza iónica de una solución acuosa que contiene \ce{KH2PO4} , con concentración 5 \cdot 10^{-3}\ M y \ce{Na2HPO4} , con concentración 10 ^{-2}\ M .

Datos: \ce{pK_{a_1}(H3PO4)} = 2.12 ; \ce{pK_{a_2}(H3PO4)} = 7.22 ; \ce{pK_{a_3}(H3PO4)} = 12.36

P.-S.

La fuerza iónica se define según la siguiente ecuación:

\color[RGB]{2,112,20}{\bm{I = \frac{1}{2}\sum [i]\cdot z_^2}}

Conoces las concentraciones iniciales de ambas sales pero no las concentraciones en el equilibrio. Es necesario establecer los equilibrios químicos y calcular esas concentraciones a partir de los valores de \ce{pK_a} adecuados.

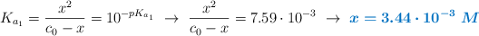
\ce{\underset{c_0 - x}{\ce{KH2PO4}} <=> \underset{x}{\ce{K^+}} + \underset{x}{\ce{H2PO4^-}}}

A partir del valor de la primera constante de equilibrio:

K_{a_1} = \frac{x^2}{c_0 - x} = 10^{-pK_{a_1}}\ \to\ \frac{x^2}{c_0 - x} = 7.59\cdot 10^{-3}\ \to\ \color[RGB]{0,112,192}{\bm{x = 3.44\cdot 10^{-3}\ M}}

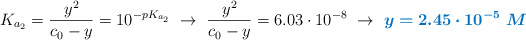
\ce{\underset{c_0 - y}{\ce{Na2HPO4}} <=> \underset{y}{\ce{2Na^+}} + \underset{y}{\ce{HPO4^{-2}}}}

A partir del valor de la segunda constante de equilibrio:

K_{a_2} = \frac{y^2}{c_0 - y} = 10^{-pK_{a_2}}\ \to\ \frac{y^2}{c_0 - y} = 6.03\cdot 10^{-8}\ \to\ \color[RGB]{0,112,192}{\bm{y = 2.45\cdot 10^{-5}\ M}}

El cálculo de la fuerza iónica lo haces a partir de las concentraciones en el equilibrio calculadas para cada uno de los iones, teniendo en cuenta la estequiometría de las reacciones:

I = \frac{1}{2}\Big[(3.44\cdot 10^{-3}\cdot 1^2 + 3.44\cdot 10^{-3}\cdot 1^2)\ M + (2\cdot 2.45\cdot 10^{-5}\cdot 1^2 + 2.45\cdot 10^{-5}\cdot 2^2)\ M\Big]

I = \frac{(6.88\cdot 10^{3} + 1.47\cdot 10^{-4})\ M}{2} = \fbox{\color[RGB]{192,0,0}{\bm{3.51\cdot 10^{-3}\ M}}}


Descarga el enunciado y la resolución del problema en formato EDICO si lo necesitas.