Fracción molar y masa de disolvente de una disolución

, por F_y_Q

Halla la fracción molar y la masa de disolvente, expresada en kilogramos, de una disolución de H_2SO_4 que tiene una molaridad de 12,2 mol/L y una molalidad de 96,3 mol/kg.

P.-S.

Si nos ajustamos a los datos que nos facilitan, el planteamiento de partida de será comparar los moles de soluto (H_2SO_4) contenidos en distintas cantidades de disolución. Si fijamos un kilogramo de agua, con el dato de la molalidad, sabemos que hay contenidos 96,3 mol de H_2SO_4. Si consideramos un litro de disolución, sabemos que habrá 12,2 mol de H_2SO_4. ¿Cuál será la masa de agua en la que están disueltos esos 12,2 mol de H_2SO_4:
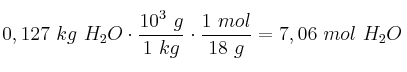
12,2\ mol\ H_2SO_4\cdot \frac{1\ kg\ H_2O}{96,3\ mol\ H_2SO_4} = \bf 0,127\ kg\ H_2O. Convertimos la masa de agua en mol:
0,127\ kg\ H_2O\cdot \frac{10^3\ g}{1\ kg}\cdot \frac{1\ mol}{18\ g} = 7,06\ mol\ H_2O
Calculamos la fracción molar de H_2SO_4:

x_{H_2SO_4} = \frac{n_{H_2SO_4}}{n_T} = \frac{12,2\ mol}{(12,2 + 7,06)\ mol} = \bf 0,64


La fracción molar del agua se puede hacer de manera análoga o por diferencia:

x_{H_2O} = 1 - x_{H_2SO_4} = 1 - 0,64 = \bf 0,36