Fracción molar del etino y Principio de Le Chatelier en la reacción del metano(7122)

, por F_y_Q

Para la reacción:

\ce{2CH4(g) <=> C2H2(g) + 3H2(g)}

a 2 000 K, la constante de equilibrio \ce{K_C} = 0.154 . Si en un volumen de 1.00 L de una mezcla en equilibrio a 2 000 K hay 0.10 moles de \ce{CH4(g)} y 0.10 moles de \ce{H2(g)} :

a) ¿Cuál es la fracción molar de \ce{C2H2(g)} ?

b) ¿Cuándo está favorecida la conversión de \ce{CH4(g)} a \ce{C2H2(g)} , a altas o a bajas presiones?

c) Si la mezcla en equilibrio a 2 000 K se traslada del matraz de 1.00 L a otro de 2.00 L, ¿aumentará, disminuirá o permanecerá constante el número de moles de \ce{C2H2(g)} ?

P.-S.

a) A partir de la constante de equilibrio y las concentraciones en el equilibrio de metano e hidrógeno, que coinciden con los moles en el equilibrio de cada uno porque el volumen es 1 L, puedes obtener la concentración de etino:

K_C = \frac{[\ce{C2H2}][\ce{H2}]^3}{[\ce{CH4}]^2}\ \to\ [\ce{C2H2}] = \frac{K_C\cdot [\ce{CH4}]^2}{[\ce{H2}]^3} = \frac{0.154\cdot 0.1^2}{0.1^3} = \color[RGB]{0,112,192}{\bm{1.54\cdot 10^{-2}\ M}}

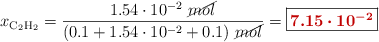
La fracción molar será el cociente de los moles de etino y los moles totales en el equilibrio:

x_{\ce{C2H2}} = \frac{1.54\cdot 10^{-2}\ \cancel{mol}}{(0.1 + 1.54\cdot 10^{-2} + 0.1)\ \cancel{mol}} = \fbox{\color[RGB]{192,0,0}{\bm{7.15\cdot 10^{-2}}}}


b) Como se produce un aumento en el número de moles gaseosos en los productos, la reacción se ve favorecida a bajas presiones porque así el equilibrio se desplaza hacia los productos.

c) Al aumenta el volumen se produce un descenso de la presión del sistema, con lo que el equilibrio se desplaza hacia los productos y aumentará el número de moles de \textbf{\ce{C2H2}}.