Fracción molar de amoniaco a partir de molaridad y densidad (6412)

, por F_y_Q

Para una práctica de laboratorio se utilizó amoniaco con una concentración de 14.8 M y una densidad de 0.898 g/mL. ¿Cuáles son las fracciones másica y molar del amoniaco en esta disolución?

P.-S.

Para poder hacer el problema debes fijar una cantidad de disolución como base de cálculo. Si fijas un litro de disolución, ya tendrías los moles de soluto que contiene la mezcla, pudiendo convertirlos en masa:

14.8\ \cancel{mol}\ \ce{NH3}\cdot \frac{17\ g}{1\ \cancel{mol}} = \color[RGB]{0,112,192}{\textbf{251.6 g \ce{NH3}}}

La masa del litro de disolución la obtienes con el dato de la densidad:

10^3\ \cancel{mL}\ D\cdot \frac{0.898\ g}{1\ \cancel{mL}} = \color[RGB]{0,112,192}{\textbf{898 g D}}

La fracción másica del amoniaco es:

f = \frac{m_{\ce{NH3}}}{m_D} = \frac{251.6\ \cancel{g}}{898\ \cancel{g}} = \fbox{\color[RGB]{192,0,0}{\bf 0.28}}


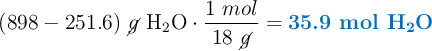
Para hacer la fracción molar es necesario saber los moles de agua que contiene la disolución. La masa de agua es la diferencia entre la masa de la disolución y la de amoniaco. Conviertes esa masa en mol:

(898 - 251.6)\ \cancel{g}\ \ce{H2O}\cdot \frac{1\ mol}{18\ \cancel{g}} = \color[RGB]{0,112,192}{\textbf{35.9 mol \ce{H2O}}}

La fracción molar del amoniaco es:

x = \frac{n_{\ce{NH3}}}{n_T} = \frac{14.8\ \cancel{mol}}{(14.8 + 35.9)\ \cancel{mol}} = \fbox{\color[RGB]{192,0,0}{\bf 0.292}}