Estudio de la cinética química de una reacción elemental de orden 3 (8435)

, por F_y_Q

Se estudia la cinética de la reacción química:

\ce{2A + B -> C}

La reacción es de tercer orden, siendo 2 el orden parcial de «A» y 1 el orden parcial de «B». A una temperatura constante de 25\ ^oC, se midieron las concentraciones de «A» y «B» en función del tiempo, obteniéndose los siguientes datos:

\begin{tabular}{|c|c|c|} \hline \tex{tiempo (s)} & \text{[A] (M)} & \text{[B] (M)}\\ \hline 0 & 0.500 & 0.300\\ \hline 100 & 0.400 & 0.250\\ \hline 200 & 0.320 & 0.210\\ \hline 300 & 0.256 & 0.176\\ \hline 400 & 0.205 & 0.148\\ \hline \end{tabular}

a) Determina la constante de velocidad «k» de la reacción.

b) Calcula la concentración de «A» y «B» después de 500 segundos.

c) Determina el tiempo de vida media (t_{\frac{1}{2}}) de la reacción.

P.-S.

a) Como los órdenes parciales de reacción coiniciden con los coeficientes estequiométricos, puedes suponer que se trata de una reacción elemental. La ecuación de velocidad para este proceso elemental es:

\color[RGB]{2,112,20}{\bm{v = -\frac{1}{2} \frac{d[A]}{dt} = -\frac{d[B]}{dt} = k [A]^2 [B]}}

Dado que la tabla te proporciona el tiempo transcurrido y las concentraciones medidas, tienes que relacionar dos formas de expresar la velocidad de la reacción y, para ello, tienes que integrar la ecuación que depende del tiempo. Lo primero que haces es expresar la concentración de «B» en función de la concentración de «A», teniendo en cuenta la estequiometría de la reacción e integrando:

\int_0^t \frac{d[B]}{dt} = -\frac{1}{2}\int_0^t \frac{d[A]}{dt}\ \to\ \color[RGB]{2,112,20}{\bm{[B] = [B]_0 - \frac{1}{2} ([A]_0 - [A])}}

Sustituyes los valores de las concentraciones iniciales (t = 0) y obtienes:

[B] = 0.300\ M + \frac{1}{2} ([A] - 0.500)\ M\ \to\ \color[RGB]{2,112,20}{\bm{[B] = 0.05 + \frac{[A]}{2}\ (M)}}

Sustituyes este valor en la ecuación de velocidad:

-\frac{1}{2} \frac{d[A]}{dt} = k [A]^2 \left( 0.050 + \frac{1}{2} [A] \right)\ \ \text{Ec.1}

Esta integral es complicada y es mejor hacer una resolución numérica para calcular «k». Tomas los datos de concentración de «A» para los tiempos 0 y 100 que están en la tabla, por ejemplo, y calculas el valor de la concentración de «B», que está en función de la concentración de «A»:

[B]_{100} = 0.05\ M + \frac{0.4\ M}{2} = \color[RGB]{0,112,192}{\bf 0.25\ M}

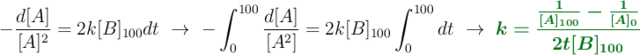
Ahora puedes reescribir la «Ec. 1» para poder hacer la integral:

-\frac{d[A]}{[A]^2} = 2k[B]_{100}dt\ \to\ -\int_0^{100} \frac{d[A]}{[A^2]} = 2k[B]_{100}\int_0^{100} dt\ \to\ \color[RGB]{2,112,20}{\bm{k = \frac{\frac{1}{[A]_{100}} - \frac{1}{[A]_0}}{2t[B]_{100}}}}

Sustituyes los valores y calculas:

k = \frac{\left(\frac{1}{0.4} - \frac{1}{0.5}\right)\ M^{-1}}{2\cdot 100\ s\cdot 0.25\ M}} = \fbox{\color[RGB]{192,0,0}{\bm{10^{-2}\ L^2\cdot mol^{-2}\cdot s^{-1}}}}


b) Para hacer el cálculo de las concentraciones de los reactivos a los 500 segundos te muestro dos maneras de hacerlo, ambas son maneras aproximadas porque la integral no es fácil de resolver.

Primera manera.

Usas la ecuación integrada anterior, pero referida a las concentraciones iniciales porque ya conoces el valor de la constante de velocidad:

\color[RGB]{2,112,20}{\bm{\frac{1}{[A]_{500}} = \frac{1}{[A]_0} + 2k [B]_0\cdot t}}

Sustituyes y calculas el valor de la concentración de «A»:

\frac{1}{[A]_{500}} = \frac{1}{0.5}\ M^{-1} + 2\cdot 10^{-2}\ M^{\cancel{{-2}}}\cdot \cancel{s^{-1}}\cdot 0.3\ M\cdot 500\ \cancel{s}\ \to\ \fbox{\color[RGB]{192,0,0}{\bm{[A]_{500} = 0.2\ M}}}


La concentración de «B» la obtienes de manera simple al aplicar la ecuación que la relaciona con la concentración de «A»:

{\color[RGB]{2,112,20}{\bm{[B]_{500} = 0.05 + \frac{[A]_{500}}{2}}}} = 0.05\ M + \frac{0.2\ M}{2}\ \to\ \fbox{\color[RGB]{192,0,0}{\bm{[B]_{500} = 0.15\ M}}}


Segunda manera.

Si analizas los datos de la tabla puedes ver que la concentración de «A» muestra un patrón en su decaimiento: cada valor es el anterior multiplicado por 0.8. De ese modo, es fácil poder estimar el valor para los 500 s:

[A]_{500} = [A]_{400}\cdot 0.8 = 0.205\ M\cdot 0.8\ \to\ \fbox{\color[RGB]{192,0,0}{\bm{[A]_{500} = 0.164\ M}}}


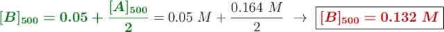
La concentración de «B» la obtienes del mismo modo que antes:

{\color[RGB]{2,112,20}{\bm{[B]_{500} = 0.05 + \frac{[A]_{500}}{2}}}} = 0.05\ M + \frac{0.164\ M}{2}\ \to\ \fbox{\color[RGB]{192,0,0}{\bm{[B]_{500} = 0.132\ M}}}


c) El tiempo de vida media para una reacción de tercer orden, en la que los reactivos no están en proporción estequiométrica, requiere de un cálculo integral complejo, pero puedes estimarlo si analizas los datos de la tabla. El tiempo de vida media es el tiempo necesario para que la concentración inicial de un reactivo se haga la mitad. Si te centras en los datos de las concentraciones de «A» puedes ver que se hace la mitad de la concentración inicial a los 300 s aproximadamente. Podrías concluir que el tiempo de vida media es:

\fbox{\color[RGB]{192,0,0}{\bm{t_{1/2} \approx 300\ s}}}