Espiras de una bobina para que su campo magnético sea un valor dado (7187)

, por F_y_Q

Una corriente de 2.5 A circula por una bobina de N vueltas muy juntas que tiene un diámetro de 0.4 m. ¿Cuántas vueltas debe tener para que el campo magnético en su centro sea 1.272\cdot 10^{-4}\ T?

Dato: \mu_0 = 4\pi\cdot 10^{-7}\ \textstyle{T\cdot m\over A}

P.-S.

Según la ley de Ampère, el campo que crea la bobina es:

B = \frac{\mu_0\cdot N\cdot I}{L}

La longitud del conductor la puedes escribir en función del diámetro como L = \pi\cdot \emptyset . Despejando:

\color[RGB]{2,112,20}{\bm{N = \frac{B\cdot \pi\cdot \emptyset}{\mu_0\cdot I}}}

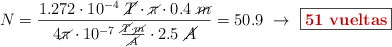
Sustituyes y calculas el número de vueltas:

N = \frac{1.272\cdot 10^{-4}\ \cancel{T}\cdot \cancel{\pi}\cdot 0.4\ \cancel{m}}{4\cancel{\pi}\cdot 10^{-7}\ \frac{\cancel{T}\cdot \cancel{m}}{\cancel{A}}\cdot 2.5\ \cancel{A}} = 50.9\ \to\ \fbox{\color[RGB]{192,0,0}{\textbf{51\ vueltas}}}