Equivalencia entre normalidad y molaridad

, por F_y_Q

¿Cuál será el volumen, expresado en mililitros, de una disolución 1 N de ácido sulfúrico que equivale a 99,5 mL de una disolución del mismo ácido con una concentración 0,18 M?

P.-S.

La equivalencia entre la concentración normal y la concentración molar es N = n\cdot M, siendo n el número de protones del ácido que, en este caso, es 2 (H_2SO_4). Esto quiere decir que podemos considerar la disolución 1 N equivalente a otra cuya concentración es 0,5 M.
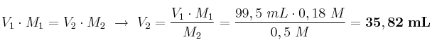
El volumen que necesitaremos es:

V_1\cdot M_1 = V_2\cdot M_2\ \to\ V_2 = \frac{V_1\cdot M_1}{M_2} = \frac{99,5\ mL\cdot 0,18\ M}{0,5\ M} = \bf 35,82\ mL