Equivalencia en kilómetros de un año-luz
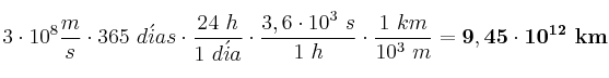
Un año-luz es la distancia que recorre la luz en un año, a una velocidad de
. ¿Cuántos kilómetros hay en un año-luz?
Un año-luz es la distancia que recorre la luz en un año, a una velocidad de
. ¿Cuántos kilómetros hay en un año-luz?