Equilibrio químico: moles de producto y formas de aumentar la producción (643)

, por F_y_Q

La constante de equilibrio \ce{K_C} para la reacción:

\ce{Br2(g) <=> 2Br(g)}

es 1.04\cdot 10^{-3} a 1\ 285\ ^oC. Un recipiente de 200 mL contiene, una vez alcanzado el equilibrio, 4.5\cdot 10^{-2} moles de \ce{Br_2}.

a) ¿Cuántos moles de Br estarán presentes en el matraz?

b) La reacción de disociación del \ce{Br_2} es endotérmica. ¿Qué se puede hacer para aumentar la cantidad de bromo atómico?

c) ¿Cuáles de las medidas adoptadas en el apartado anterior afectan al valor de \ce{K_C}?

P.-S.

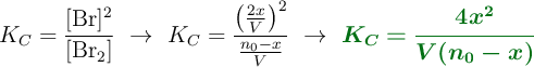
a) Si consideras que en el equilibrio hay n_0 - x moles de \ce{Br_2} y 2x moles de Br, la constante de equilibrio podrías escribirla como:

K_C = \frac{[\ce{Br}]^2}{[\ce{Br2}]}\ \to\ K_C = \frac{\left(\frac{2x}{V}\right)^2}{\frac{n_0 - x}{V}}\ \to\ \color[RGB]{2,112,20}{\bm{K_C = \frac{4x^2}{V(n_0 - x)}}}

Conoces los moles \ce{Br2} que hay en el equilibrio y el volumen del recipiente, por lo que puedes calcular los moles de bromo sin problema:

x = \sqrt{\frac{0.2\ \cancel{L}\cdot 1.04\cdot 10^{-3}\ \frac{mol}{\cancel{L}}\cdot 4.5\cdot 10^{-2}\ mol}{4}} = \fbox{\color[RGB]{192,0,0}{\bm{1.53\cdot 10^{-3}\ moles}}}


b) Podrías hacer varias cosas: aumentar la concentración \bf \ce{Br_2}, retirar parte del bromo atómico, también puedes aumentar la presión del sistema o reducir el volumen del recipiente, que al ser gases tendría un efecto similar al aumento de la presión, aumentar la temperatura del sistema, porque la reacción es endotérmica o añadir un catalizador positivo, lo que haría que aumentase la velocidad del proceso y, retirando parte del producto, provocarías que aumentase la cantidad de producto.

c) La única medida que afecta al valor de la constante de equilibrio es el aumento de la temperatura del sistema.