Entalpía y capacidad calorífica 0001

, por F_y_Q

Determina el cambio de entalpía de un sistema de 80 g cuya capacidad térmica es de 6,3 J/g·K, si su temperatura disminuye 20 ºC es:

P.-S.

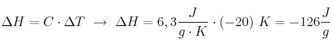
La capacidad térmica se define como: C = \frac{Q}{\Delta T} (si suponemos que es a presión constante, porque nos piden la entalpía, C = \frac{\Delta H}{\Delta T}).

\Delta H = C\cdot \Delta T\ \to\ \Delta H = 6,3\frac{J}{g\cdot K}\cdot (-20)\ K = - 126\frac{J}{g}


Como el sistema tiene una masa de 80 g:

\Delta H = - 126\frac{J}{g}\cdot 80\ g = \bf - 15\ 120\ J\ \equiv - 15,12\ kJ