Entalpía de reacción y variación de energía libre en la combustión del etanol (6266)

, por F_y_Q

El etanol puede ser utilizado como sustituto de la gasolina y su reacción de combustión a 298 K y 1 atm es:

\ce{C2H6O(l) + 3O2(g) -> 2CO2(g) + 3H2O(l)}\ \ \ \Delta S^0 = 0.14\ \frac{kJ}{mol\cdot K}

a) Calcula la entalpía de combustión del etanol.

b) Calcula la variación de energía libre del proceso.

Datos: \Delta H_f^0(\ce{CO2}) = -393.5\ \frac{kJ}{mol} ; \Delta H_f^0(\ce{C2H6O}) = -277.5\ \frac{kJ}{mol} ; \Delta H_f^0(\ce{H2O}) = -285.9\ \frac{kJ}{mol}

P.-S.

a) La entalpía estándar de reacción la puedes calcular a partir de las entalpías de formación de los productos y reactivos:

\color[RGB]{2,112,20}{\bm{\Delta H_R^0 = \sum\ n_p\Delta H_f^0(prod) - \sum\ n_r\Delta H_f^0(reac)}}

\Delta H_R^0= 2\Delta H_f^0(\ce{CO2}) + 3\Delta H_f^0(\ce{H2O}) - \left(\Delta H_f^0(\ce{C2H6O}) + \cancelto{0}{\Delta H_f^0(\ce{O2})}\right)

\Delta H_R^0 = \left(2(-393.5) + 3(-285.9) - (-277.5)\right) \ \frac{kJ}{mol} = \fbox{\color[RGB]{192,0,0}{\bm{-1\ 367.2\ \frac{kJ}{mol}}}}


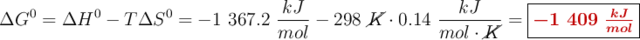
b) La variación de la energía libre es:

\Delta G^0 = \Delta H^0 - T\Delta S^0 = -1\ 367.2\ \frac{kJ}{mol} - 298\ \cancel{K}\cdot 0.14\ \frac{kJ}{mol\cdot \cancel{K}} = \fbox{\color[RGB]{192,0,0}{\bm{-1\ 409\ \frac{kJ}{mol}}}}