Entalpía de formación del óxido de hierro(III) y diagrama entálpico (6189)

, por F_y_Q

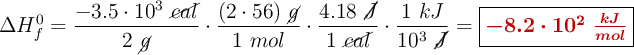
Se liberan 3.5 \cdot 10^3\ cal cuando 2 g de hierro se oxidan a óxido de hierro(III), a presión constante:

a) Calcula el valor del calor estándar de formación de este óxido, expresado en kJ/mol.

b) ¿La reacción es exotérmica? Realiza un diagrama entálpico para esta reacción.

Masas atómicas: Fe = 56, O = 16.

P.-S.

La reacción de formación del óxido de hierro(III) es:

\color[RGB]{2,112,20}{\bf \ce{2Fe(s) + \textstyle{3\over 2} O2(g) -> Fe2O3(s)}}


Para que se forme un mol de óxido son necesarios 2 moles de hierro, como puedes ver en su estequiometría.

a) Teniendo en cuenta la masa atómica del hierro, puedes hacer una conversión del dato de energía que se libera cuando reaccionan 2 g de hierro:

\Delta H_f^0 = \frac{-3.5\cdot 10^3\ \cancel{cal}}{2\ \cancel{g}}\cdot \frac{(2\cdot 56)\ \cancel{g}}{1\ mol}\cdot \frac{4.18\ \cancel{J}}{1\ \cancel{cal}}\cdot \frac{1\ kJ}{10^3\ \cancel{J}} = \fbox{\color[RGB]{192,0,0}{\bm{-8.2\cdot 10^2\ \frac{kJ}{mol}}}}


b) Al ser un valor negativo de la entalpía de formación, se trata de una reacción \color[RGB]{192,0,0}{\bm{exot\acute{e}rmica}.

El diagrama entálpico es:

Como la energía de los reactivos es mayor que la de los productos, al darse la reacción se libera ese exceso de energía.