Energías cinética, potencial y mecánica de un helicóptero 0001

, por F_y_Q

Un helicóptero de 2,5 toneladas vuela a 3 500 m de altura con una velocidad de 108 km/h. Calcula la energía potencial, cinética y mecánica que posee el helicóptero.

P.-S.

Antes de hacer los cálculos hay que expresar las unidades en el SI. La masa del helicóptero es 2 500 kg y su velocidad es de 30 m/s.
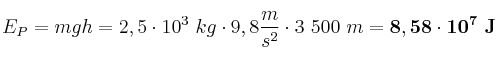
Energía potencial:

E_P = mgh = 2,5\cdot 10^3\ kg\cdot 9,8\frac{m}{s^2}\cdot 3\ 500\ m = \bf 8,58\cdot 10^7\ J


Energía cinética:

E_C = \frac{1}{2}mv^2 = \frac{1}{2}\cdot 2,5\cdot 10^3\ kg\cdot 30^2\frac{m^2}{s^2} = \bf 1,12\cdot 10^6\ J


Energía mecánica:

E_M = E_C + E_P = (8,58\cdot 10^7 + 1,12\cdot 10^6)\ J = \bf 8,69\cdot 10^7\ J