Energía que se degrada en una frenada y velocidad final del coche (939)

, por F_y_Q

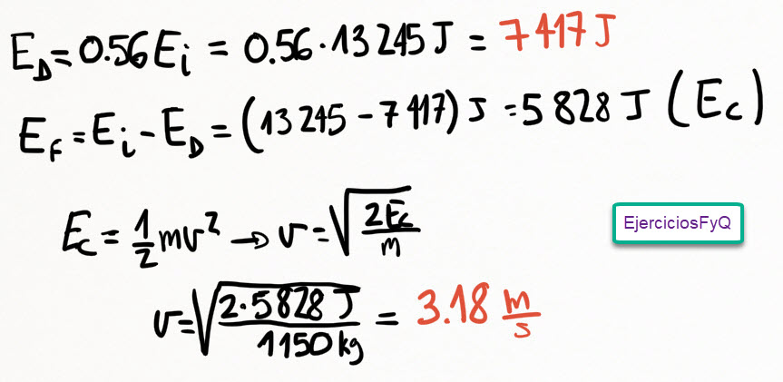
La energía cinética de un vehículo es de 13 245 J. Si degrada el 56 \% en una frenada, ¿cuál será la velocidad del vehículo después de frenar? ¿Qué cantidad de energía se ha degradado? (Masa del vehículo: 1 150 kg)

P.-S.

\fbox{\color[RGB]{192,0,0}{\bm{v = 3.18\ \frac{m}{s}}}} ; \fbox{\color[RGB]{192,0,0}{\bm{E_D = 7\ 417\ J}}}

RESOLUCIÓN DEL EJERCICIO EN VÍDEO:


Si clicas sobre la miniatura puedes ver la resolución del ejercicio con más detalle: