Energía que aporta una manzana de 140 g (460)

, por F_y_Q

El contenido en glucosa de una manzana es un 13 \% . Si la entalpía de combustión de la glucosa (\ce{C6H12O6}), es -281\ \textstyle{kJ\over mol} , calcula las calorías que aporta al cuerpo humano la ingesta de una manzana de 140 g. Ten en cuenta que una caloría dietética equivale a una kcal).

P.-S.

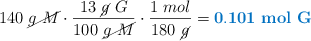
Lo primero que debes hacer el calcular qué masa de glucosa (G) contiene la manzana (M) que se ingiere. Si tienes en cuenta la masa molar de la glucosa, 180 g/mol, puedes obtener directamente los moles de glucosa ingeridos:

140\ \cancel{g\ M}\cdot \frac{13\ \cancel{g}\ G}{100\ \cancel{g\ M}}\cdot \frac{1\ mol}{180\ \cancel{g}} = \color[RGB]{0,112,192}{\bf 0.101\ mol\ G}

Ahora haces el cálculo de la energía, aplicando la conversión de kJ a kcal en el mismo paso:

0.101\ \cancel{mol\ G}\cdot \frac{-281\ \cancel{kJ}}{1\ \cancel{mol\ G}}\cdot \frac{1\ kcal}{4.18\ \cancel{kJ}} = \fbox{\color[RGB]{192,0,0}{\bf 6.80\ kcal}}


La manzana completa aporta solo 6.8 cal dietéticas.