Energía potencial eléctrica de un sistema de dos cargas (7412)

, por F_y_Q

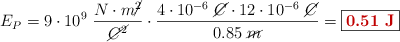
Una carga de 4 \ \mu C está separada por 85 cm de otra carga de 12\ \mu c. ¿Cuál es la energía potencial del sistema?

P.-S.

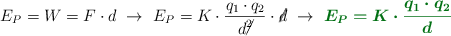
Puedes definir la energía potencial eléctrica como el trabajo eléctrico, es decir, el producto de la fuerza eléctrica por la distancia:

E_P = W = F\cdot d\ \to\ E_P = K\cdot \frac{q_1\cdot q_2}{d\cancel{^2}}\cdot \cancel{d}\ \to\ \color[RGB]{2,112,20}{\bm{E_P = K\cdot \frac{q_1\cdot q_2}{d}}}

Solo tienes que sustituir en la ecuación y calcular:

E_P = 9\cdot 10^9\ \frac{N\cdot m\cancel{^2}}{\cancel{C^2}}\cdot \frac{4\cdot 10^{-6}\ \cancel{C}\cdot 12\cdot 10^{-6}\ \cancel{C}}{0.85\ \cancel{m}} = \fbox{\color[RGB]{192,0,0}{\bf 0.51\ J}}


Descarga el enunciado y la resolución del problema en formato EDICO si lo necesitas.