Energía potencial elástica de un muelle (4615)

, por F_y_Q

¿Cuál es la energía potencial elástica de un muelle que sufre una elongación de 13 cm, sabiendo que su constante recuperadora es de 235\ N\cdot m^{-1}?

P.-S.

Para poder trabajar en el Sistema Internacional de unidades, tienes que expresar la elongación del muelle en metros. Basta con sustituir el prefijo centi- por su valor (10^{-2}), por lo tanto, la elongación es de:

13\cdot 10^{-2}\ m = \color[RGB]{2,112,20}{\bm{1.3\cdot 10^{-1}\ m}}

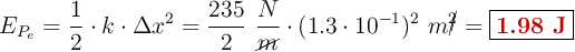
La energía potencial elástica será:

E_{P_e} = \frac{1}{2}\cdot k\cdot \Delta x^2 = \frac{235}{2}\ \frac{N}{\cancel{m}}\cdot (1.3\cdot 10^{-1})^2\ m\cancel{^2} = \fbox{\color[RGB]{192,0,0}{\bf 1.98\ J}}