Energía cinética, energía total y momento lineal de un protón que se mueve a 0.99c (8400)
Un protón se acelera hasta alcanzar una velocidad de 0.99c, donde «c» es la velocidad de la luz en el vacío. Calcula:
a) La energía total del protón.
b) La energía cinética del protón.
c) El momento lineal del protón.
Datos: masa en reposo del protón
; velocidad de la luz
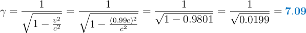
; factor de Lorentz 
Ejercicios FyQ