Energía cinética de un objeto e incremento con la velocidad 0001

, por F_y_Q

Determina la energía cinética de un objeto que se desplaza a 40 km/h si su masa es de 100 g. ¿Cuánto aumentará su energía cinética si su velocidad fuera de 23 m/s?

P.-S.

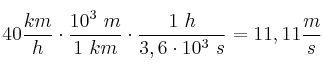
Para hacer el ejercicio debemos tener en cuenta que las unidades sean homogéneas. Si trabajamos en el Sistema Internacional de unidades:
40\frac{km}{h}\cdot \frac{10^3\ m}{1\ km}\cdot \frac{1\ h}{3,6\cdot 10^3\ s} = 11,11\frac{m}{s}
También debemos expresar la masa en kilogramos:
100\ g\cdot \frac{1\ kg}{10^3\ g} = 0,1\ kg
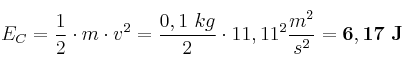
La energía cinética del objeto es:

E_C = \frac{1}{2}\cdot m\cdot v^2 = \frac{0,1\ kg}{2}\cdot 11,11^2\frac{m^2}{s^2} = \bf 6,17\ J


Si su velocidad aumenta hasta los 23 m/s:

E_C = \frac{1}{2}mv^2 = \frac{0,1\ kg}{2}\cdot 23^2\frac{m^2}{s^2} = \bf 26,45\ J