Elongación final de un muelle al que se añade una masa extra (2595)

, por F_y_Q

Un resorte de acero de 30 cm de largo se estira hasta una longitud de 35.6 cm cuando se suspende de su extremo inferior una masa de 2 kg. Encuentra la longitud del resorte cuando se agregan 500 g más a su extremo inferior.

P.-S.

A partir de la Ley de Hooke (F  = - k\cdot x) puedes despejar para obtener el valor de la constante recuperadora del resorte:

\color[RGB]{2,112,20}{\bm{k  = \frac{F}{x}}}

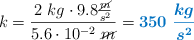
Sustituyendo en la ecuación los datos del enunciado:

k = \frac{2\ kg\cdot 9.8\frac{\cancel{m}}{s^2}}{5.6\cdot 10^{-2}\ \cancel{m}} = \color[RGB]{0,112,192}{\bm{350\ \frac{kg}{s^2}}}

(Recuerda que el signo menos de esta ecuación hace referencia solo al sentido de la fuerza y por ello puedes prescindir de él en el cálculo que estás realizando).

Al añadir los 0.5 kg extra al resorte su nueva elongación será:

x = \frac{F}{k}\ \to\ x = \frac{2.5\ \cancel{kg}\cdot 9.8\ \frac{m}{\cancel{s^2}}}{350\ \frac{kg}{\cancel{s^2}}} = \color[RGB]{0,112,192}{\bf 0.07\ m}

Esto quiere decir que el resorte se estirará un total de 7 cm, por lo que la nueva longitud del resorte será \fbox{\color[RGB]{192,0,0}{\bf 37\ cm}}.