Ejercicio de magnitudes (517)
El trabajo se define como el producto de una fuerza por un desplazamiento. Sabiendo que
(y que las unidades de "a" son
), ¿cuáles son las unidades SI del trabajo?
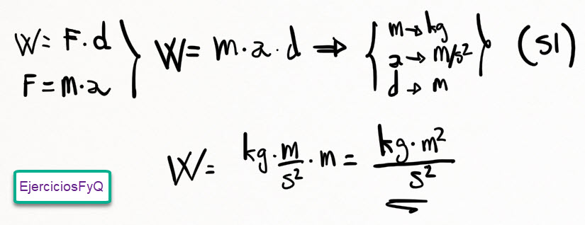
El trabajo se define como el producto de una fuerza por un desplazamiento. Sabiendo que
(y que las unidades de "a" son
), ¿cuáles son las unidades SI del trabajo?