Ejercicio de cambio de unidades (941)

, por F_y_Q

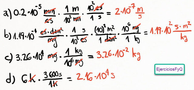
Cambia a unidades SI:

a) 0.2\cdot 10^{-5}\ \frac{mm}{cs}

b) 1.19\cdot 10^{-4}\ \frac{cs\cdot dam^2}{mg}

c) 3.26\cdot 10^4\ mg

d) 6\  h

P.-S.

a) \fbox{\color[RGB]{192,0,0}{\bm{2\cdot 10^{-7}\ \frac{m}{s}}}}

b) \fbox{\color[RGB]{192,0,0}{\bm{1.19\cdot 10^2\ \frac {s\cdot m^2}{kg}}}}

c) \fbox{\color[RGB]{192,0,0}{\bm{3.26\cdot 10^{-2}\ kg}}}

d) \fbox{\color[RGB]{192,0,0}{\bm{2.16\cdot 10^4\ s}}}}