Efecto Joule: precio en el recibo de la luz por usar un tostador (1741)

, por F_y_Q

En la etiqueta de un tostador podemos leer los siguientes datos: 220\ V - 25\ \Omega . Si el precio de la energía eléctrica es 0.16 € por cada kW\cdot h, ¿cuánto pagaremos por tostar pan durante 3 minutos? Si hacemos tostadas 20 días en el mes, ¿cuánto dinero supondrá en la factura de la luz?

P.-S.

Puedes poner la energía que consume el tostador en función de los datos dados según la ecuación:

E  = I\cdot t\cdot \DeltaV = \frac{\Delta V^2\cdot t}{R}

Sustituyes los valores dados en el enunciado:

E = \frac{220^2\ V^2\cdot 180\ s}{25\ \Omega} = \color[RGB]{2,112,20}{\bm{3.48\cdot 10^5\ J}}

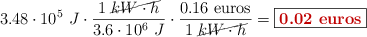
Ahora hay que convertir los julios en kW\cdot h y calcular qué dinero costará:

3.48\cdot 10^5\ J\cdot \frac{1\
 \cancel{kW\cdot h}}{3.6\cdot 10^6\ J}\cdot \frac{0.16\ \text{euros}}{1\ \cancel{kW\cdot h}} = \fbox{\color[RGB]{192,0,0}{\bf 0.02\ \text{euros}}}


Si hacemos este gasto durante 20 días:

0.02\frac{\text{euros}}{\cancel{d\acute{\imath}a}}\cdot 20\ \cancel{d\acute{\imath}as} = \fbox{\color[RGB]{192,0,0}{\bf 0.40\ \text{euros}}}}

VER LA RESOLUCIÓN DEL EJERCICIO EN VÍDEO.