Ecuación química: balanceo y estequiometría (2830)

, por F_y_Q

El hidróxido de sodio se puede preparar mediante la reacción del carbonato de sodio con hidróxido de bario. Se desea saber cuántos kilogramos de hidróxido de sodio se pueden obtener tratando 2 000 g de carbonato de sodio con hidróxido de bario.

Masas atómicas: Na = 23 ; C =12 ; O = 16 ; Ba = 137.

P.-S.

En primer lugar, tienes que escribir y ajustar (o balancear) el proceso químico:

\color[RGB]{2,112,20}{\textbf{\ce{Na2CO3 + Ba(OH)2 -> 2NaOH + BaCO3}}}

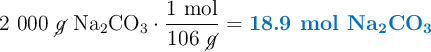
Lo siguiente es convertir en mol la masa de carbonato de sodio:

2\ 000\ \cancel{g}\ \ce{Na2CO3}\cdot \frac{1\ \text{mol}}{106\ \cancel{g}} = \color[RGB]{0,112,192}{\textbf{18.9 mol \ce{Na2CO3}}}

Teniendo en cuenta la estequiometría de la reacción:

18.9\ \cancel{\ce{mol\ Na2CO3}}\cdot \frac{2\ \ce{mol\ NaOH}}{1\ \cancel{\ce{mol\ Na2CO3}}} = \color[RGB]{0,112,192}{\bf 37.8\ mol\ NaOH}

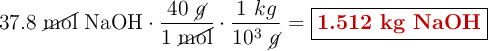
El último paso es convertir el resultado en masa (kg):

37.8\ \cancel{\text{mol}}\ \ce{NaOH}\cdot \frac{40\ \cancel{g}}{1\ \cancel{\text{mol}}}\cdot \frac{1\ kg}{10^3\ \cancel{g}} = \fbox{\color[RGB]{192,0,0}{\textbf{1.512 kg NaOH}}}