EBAU Andalucía: química (junio 2021) pregunta C.1 (7239)

, por F_y_Q

Para la reacción de disociación del \ce{N2O4} gaseoso, \ce{N2O4(g) <-> 2NO2(g)} , la constante de equilibrio \ce{K_P} vale 2.49 a 60 ^oC.

a) Sabiendo que la presión total en el equilibrio es de 1 atm, calcula el grado de disociación del \ce{N2O4} a esa temperatura y las presiones parciales de las especies en el equilibrio.

b) Determina el valor de \ce{K_C}.

Dato: R = 0.082\ atm\cdot L\cdot mol^{-1}\cdot K^{-1}

P.-S.

a) Considerando que la temperatura y volumen del sistema no varían, puedes escribir las presiones de cada especie en el equilibrio en función de la presión inicial del sistema:

\color[RGB]{20,112,0}{\bf{\ce{\underset{p_0(1 - \alpha)}{\ce{N2O4(g)}}} \ce{<=> \underset{2p_0\alpha}{\ce{2NO2(g)}}}}


Si sumas las dos presiones obtienes la presión total en el equilibrio. Si despejas puedes escribir la presión inicial en función del grado de disociación:

\cancelto{1}{p_T} = p_0(1 + \alpha)\ \to\ \color[RGB]{20,112,0}{\bm{p_0 = \frac{1}{(1 - \alpha)}}} .

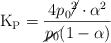
La constante de equilibrio en función de las presiones es:

\ce{K_P} = \frac{4p_0\cancel{^2}\cdot \alpha^2}{\cancel{p_0}(1 - \alpha)}

Si sustituyes el valor de la presión inicial en esta ecuación obtienes:

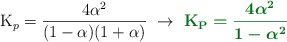
\ce{K_p} = \frac{4\alpha^2}{(1 - \alpha)(1 + \alpha)}\ \to\ \color[RGB]{2,112,20}{\textbf{\ce{K_P}} \bm{= \frac{4\alpha^2}{1 - \alpha^2}}}

La ecuación que obtienes al sustituir el valor de la constante de equilibrio se puede resolver como:

2.49 - 2.49\alpha^2 = 4\alpha^2\ \to\ \alpha = \sqrt{\frac{2.49}{6.49}} = \fbox{\color[RGB]{192,0,0}{\bf 0.62}}



Las presiones en el equilibrio son inmediatas:

\left p_{\ce{N2O4}} = \frac{\cancel{p_0}\ (1 - 0.62)}{\cancel{p_0}\ (1 + 0.62)} \atop p_{\ce{NO2}} = \frac{2\ \cancel{p_0}\cdot 0.62}{\cancel{p_0}\ (1 + 0.62)} \right \}\ \to\ \fbox{\color[RGB]{192,0,0}{\bm{\left\ p_{\ce{N2O4}} = 0.23\ atm \atop p_{\ce{NO2}} = 0.77\ atm}}}


b) A partir de la ecuación que relaciona ambas constantes de equilibrio:

\ce{K_C} = \ce{K_P}(RT)^{- \Delta n}\ \to\ 2.49\cdot (0.082\cdot 333)^{-1} = \fbox{\color[RGB]{192,0,0}{\bm{9.12\cdot 10^{-2}}}}