EBAU Andalucía: química (junio 2018) - ejercicio B.5 (4658)

, por F_y_Q

Basándote en las reacciones químicas correspondientes:

a) Calcula la solubilidad en agua del \ce{ZnCO_3} en mg/L.

b) Justifica si precipitará \ce{ZnCO_3} al mezclar 50 mL de \ce{Na2CO3} 0.01 M con 200 mL de \ce{Zn(NO_3)2} 0.05 M.

Datos: K_s(\ce{ZnCO_3}) = 2.2\cdot 10^{-11}. Masas atómicas relativas: C = 12 ; O = 16 ; Zn = 65.4.

P.-S.

a) El equilibrio que se establece es:

\color[RGB]{2,112,20}{\ce{\underset{c_0 - s}{ZnCO_3(s)}} \ce{<=>} {\underset{s}{Zn^{2+}(ac)}} + {\underset{s}{CO_3^{2-}}(ac)}}}

La constante de equilibrio, para este equilibrio heterogéneo, es:

\color[RGB]{2,112,20}{\bf{K_s = \textbf{[\ce{Zn^2+}]}\textbf{[\ce{CO3^2-}]} = s^2}}}

Para determinar la solubilidad, solo tienes que despejar el valor de «s» y hacer el cambio de unidad oportuno:

s = \sqrt{K_s} = \sqrt{2.2\cdot 10^{-11}} = \color[RGB]{0,112,192}{\bm{4.69\cdot 10^{-6}\ M}}

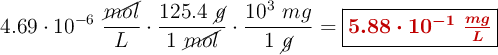
En lugar de concentración molar, debes expresarlo en mg/L:

4.69\cdot 10^{-6}\ \frac{\cancel{mol}}{L}\cdot \frac{125.4\ \cancel{g}}{1\ \cancel{mol}}\cdot \frac{10^3\ mg}{1\ \cancel{g}} = \fbox{\color[RGB]{192,0,0}{\bm{5.88\cdot 10^{-1}\ \frac{mg}{L}}}}


b) Para saber si precipitará la sal o no, debes calcular el valor del producto de solubilidad en las condiciones que indica el enunciado y compararlo con el producto de solubilidad del carbonato de cinc.

\ce{Na2CO3}: 5\cdot 10^{-2}\ \cancel{L}\cdot 0.01\frac{mol}{\cancel{L}} = \color[RGB]{0,112,192}{\bm{5\cdot 10^{-4}\ \textbf{mol\ \ce{CO3^2-}}}}

\ce{Zn(NO3)2}: 2\cdot 10^{-1}\ \cancel{L}\cdot 0.05\frac{mol}{\cancel{L}} = \color[RGB]{0,112,192}{\bm{10^{-2}\ \textbf{mol\ \ce{Zn^2+}}}}

Suponiendo que los volúmenes son aditivos, el volumen total de la disolución será 0.25 L y las concentraciones de los iones estudiados serán:

\left{ [\ce{Zn^2+}] = \frac{10^{-2}\ mol}{0.25\ L} = {\color[RGB]{0,112,192}{\bm{4\cdot 10^{-2}\ M}}} \atop [\ce{CO3^2-}] = \frac{5\cdot 10^{-4}\ mol}{0.25\ L} = {\color[RGB]{0,112,192}{\bm{2\cdot 10^{-3}\ M}}} \right \}

Si calculas el producto de solubilidad que se debería a la mezcla de ambas disoluciones, tienes:

(K_s)_2 = [\ce{Zn^2+}][\ce{CO3^2-}] = 4\cdot 10^{-2}\ M\cdot 2\cdot 10^{-3}\ M = \fbox{\color[RGB]{192,0,0}{\bm{8\cdot 10^{-5}\ M^2}}}


Como este valor es mayor que el valor del producto de solubilidad de la sal, precipitará el carbonato de cinc.