EBAU Andalucía: física (junio 2018) - ejercicio B.3 (4725)

, por F_y_Q

a) Explica dónde debe estar situado un objeto respecto a una lente delgada para obtener una imagen virtual y derecha: (i) Si la lente es convergente; (ii) si la lente es divergente. Realiza en ambos casos las construcciones geométricas del trazado de rayos e indica si la imagen es mayor o menor que el objeto.

b) Un objeto luminoso se encuentra a 4 m de una pantalla. Mediante una lente situada entre el objeto y la pantalla se pretende obtener una imagen del objeto sobre la pantalla que sea real, invertida y tres veces mayor que él. Determina el tipo de lente que se tiene que utilizar, así como su distancia focal y la posición en la que debe situarse, justificando tus respuestas.

P.-S.

a) En este apartado solo tienes que construir los diagramas de cada tipo de lente. Si clicas sobre las miniaturas podrás ver las imágenes a un tamaño adecuado para apreciar los detalles.

(i) Lente convergente:


La imagen es mayor que el objeto como se puede ver en el esquema (figura más difuminada).

(ii) Lente divergente:


La imagen es menor que el objeto como se puede ver en el esquema (figura más difuminada).

b) Para obtener una imagen que sea real, es decir, que esté detrás de la lente, es necesario que la lente sea convergente. Como quieres que la imagen sea invertida y mayor que el objeto, el objeto debe situarse más allá de la distancia focal. El esquema de la situación es:


En verde está marcado el criterio de signos que debes emplear y en azul están las distancias entre la pantalla y el objeto (4 m), la lente y el objeto (x) y la lente y la pantalla (4 - x).

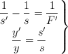
Puedes usar dos ecuaciones que relacionan estas distancias con la distancia focal y la relación entre los tamaños de objeto e imagen con las distancias a la lente de objeto e imagen. Las ecuaciones son:

\left \dfrac{1}{s^{\prime}} - \dfrac{1}{s}  = \dfrac{1}{F^{\prime}} \atop \dfrac{y^{\prime}}{y}  = \dfrac{s^{\prime}}{s} \right \}

Sustituyes en la segunda ecuación:

\frac{-3y}{y} = \frac{4 - x}{-x}\ \to\ 3x = 4 - x\ \to\ \fbox{\color[RGB]{192,0,0}{\bf x = 1\ m}}


La lente debe situarse a tres metros de la pantalla.
Ahora puedes calcular la distancia focal usando la primera de las ecuaciones:

\frac{1}{3} - \frac{1}{-1} = \frac{1}{F^{\prime}}\ \to\ \frac{4}{3} = \frac{1}{F^{\prime}}\ \to\ F^{\prime} = \fbox{\color[RGB]{192,0,0}{\bm{\textstyle{3\over 4}\ m}}}