EBAU Andalucía: física (junio 2017) - ejercicio B.2 (4644)

, por F_y_Q

a) Discute la veracidad de las siguientes afirmaciones: i) Al analizar el movimiento de una partícula cargada positivamente en un campo eléctrico observamos que se desplaza espontáneamente hacia puntos de potencial mayor ; ii) Dos esferas de igual carga se repelen con una fuerza F. Si duplicamos el valor de la carga de cada una de las esferas y también duplicamos la distancia entre ellas, el valor F de la fuerza no varía.

b) Se coloca una carga puntual de 4 \cdot 10^{-9}\ C en el origen de coordenadas y otra carga puntual de - 3\cdot 10^{-9}\ C en el punto (0,1) m. Calcula el trabajo que hay que realizar para trasladar una carga de 2 \cdot 10^{-9}\ C desde el punto (1,2) m hasta el punto (2,2) m.

Dato: K = 9\cdot 10^9\  N\cdot m^2\cdot C^{-2}

P.-S.

a) Analizas cada una de las aseveraciones:

i) FALSA. Esta afirmación es falsa porque, si la partícula es positiva, el campo eléctrico y la fuerza electrostática han de tener el mismo sentido (como se puede deducir de la ecuación:

\color[RGB]{2,112,20}{\bm{\vec{F}_e  = q\cdot \vec{E}}}

Esto quiere decir que la carga positiva se movería libremente en la misma dirección y sentido del campo, es decir, hacia zonas de menor potencial.

ii) VERDADERA. Si las cargas son iguales, la ley de Coulomb indica la fuerza con la que se repelen y te queda:

\color[RGB]{2,112,20}{\bm{F  = K\cdot \frac{q^2}{r^2}}}

Ahora escribes la fuerza con la que se repelerían si las cargas fuesen el doble y también lo fuese la distancia, es decir, q^{\prime} = 2q y r^{\prime} = 2r:

F = K\cdot \frac{(2q)^2}{(2r)^2} = K\cdot \frac{4q^2}{4r^2}\ \to\ \color[RGB]{2,112,20}{\bm{F = K\cdot \frac{q^2}{r^2}}}

Como puedes ver, resulta la misma fuerza de repulsión que en el primer caso.

b) Este apartado se puede resolver aplicando la ecuación:

W_{A\to B}  = -q\cdot \Delta V\ \to\ \color[RGB]{2,112,20}{\bm{W_{A\to B} = q\cdot (V_A - V_B)}}

Solo tienes que calcular el potencial creado por las cargas dadas en los puntos A y B. Esos potenciales dependen del valor de cada carga y de la distancia que hay entre ellas y los puntos dados. Lo mejor es hacer un gráfico que te ayude a ver la situación:


Trazando triángulos rectángulos puedes determinar las distancias marcadas en el gráfico:

d_{1A} = \sqrt{1^2 + 2^2}\ \to\ \color[RGB]{0,112,192}{\bm{d_{1A} = \sqrt 5\ m}}

De modo análogo obtendrás que las demás distancias son:

\color[RGB]{0,112,192}{\bm{d_{2A}  = \sqrt 2\ m}} , \color[RGB]{0,112,192}{\bm{d_{1B}  = \sqrt 8\ m}} y \color[RGB]{0,112,192}{\bm{d_{2B}  = \sqrt 5\ m}}

Calculas ahora los potenciales:

V_A = V_{1A} + V_{2A} = K\left(\frac{q_1}{d_{1A}} + \frac{q_2}{d_{2A}}\right) = 9\cdot 10^9\frac{N\cdot m\cancel{^2}}{C\cancel{^2}}\left(\frac{4\cdot 10^{-9}\ \cancel{C}}{\sqrt 5\ \cancel{m}} - \frac{3\cdot 10^{-9}\ \cancel{C}}{\sqrt 2\ \cancel{m}}\right) = \color[RGB]{0,112,192}{\bf - 2.99\ V}

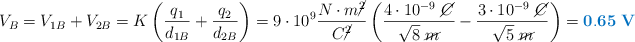
V_B = V_{1B} + V_{2B} = K\left(\frac{q_1}{d_{1B}} + \frac{q_2}{d_{2B}}\right) = 9\cdot 10^9\frac{N\cdot m\cancel{^2}}{C\cancel{^2}}\left(\frac{4\cdot 10^{-9}\ \cancel{C}}{\sqrt 8\ \cancel{m}} - \frac{3\cdot 10^{-9}\ \cancel{C}}{\sqrt 5\ \cancel{m}}\right) = \color[RGB]{0,112,192}{\bf 0.65\ V}

Calculas ahora el trabajo pedido:

W_{A\to B} = q\cdot (V_A - V_B) = 2\cdot 10^{-9}\ C(-2.99 - 0.65)\ V = \fbox{\color[RGB]{192,0,0}{\bm{-7.28\cdot 10^{-9}\ J}}}